Implementar constantes e primitivos

As constantes e primitivas táteis são definidas pelo HAL do vibrador e mapeadas pelo framework do Android para APIs públicas. Execute estas verificações para determinar se o dispositivo atende aos requisitos mínimos para implementar a resposta tátil:

Fluxograma do processo de implementação de
retorno tátil

Figura 2. Implementar efeitos

Fluxograma de etapas para implementar
primitivas

Figura 3. Implementação de primitivos

Implementar constantes

As constantes hápticas em VibrationEffect podem ser usadas pelos desenvolvedores com VibrationEffect.createPredefined(). Verifique o status de implementação das seguintes constantes hápticas.

Constantes de retorno tátil Locais e resumos
EFFECT_TICK, EFFECT_CLICK, EFFECT_HEAVY_CLICK, EFFECT_DOUBLE_CLICK A classe VibrationEffect
As constantes hápticas em VibrationEffect não incluem nenhuma noção de eventos de entrada e não têm elementos de IU. As constantes incluem a noção de níveis de energia, como EFFECT_CLICK e EFFECT_HEAVY_CLICK, que são chamados por createPredefined().

As vibrações alternativas descritas a seguir são realizadas em dispositivos que não implementam as constantes VibrationEffect. Recomendamos atualizar essas configurações para ter um melhor desempenho nesses dispositivos.

  • EFFECT_CLICK

    Vibração de forma de onda criada com VibrationEffect.createWaveform e os tempos configurados em frameworks/base/core/res/res/values/config.xml##config_virtualKeyVibePattern.

  • EFFECT_HEAVY_CLICK

    Vibração de forma de onda criada com VibrationEffect.createWaveform e os tempos configurados em frameworks/base/core/res/res/values/config.xml##config_longPressVibePattern.

    • EFFECT_DOUBLE_CLICK

    Vibração de forma de onda criada com VibrationEffect.createWaveform e os tempos (0, 30, 100, 30).

  • EFFECT_TICK

    Vibração de forma de onda criada com VibrationEffect.createWaveform e os tempos configurados em frameworks/base/core/res/res/values/config.xml##config_clockTickVibePattern.

Fluxograma de etapas para testar o feedback
táctil

Figura 4. Implementar constantes de feedback

As constantes de toque em HapticFeedbackConstants podem ser usadas pelos desenvolvedores usando View.performHapticFeedback()). Verifique o status das seguintes constantes de feedback público.

Constantes de retorno tátil Locais e resumos
CLOCK_TICK, CONTEXT_CLICK, KEYBOARD_PRESS, KEYBOARD_RELEASE, KEYBOARD_TAP, LONG_PRESS, TEXT_HANDLE_MOVE, VIRTUAL_KEY, VIRTUAL_KEY_RELEASE, CONFIRM, REJECT, GESTURE_START, GESTURE_END Classe HapticFeedbackConstants
As constantes hápticas em HapticFeedbackConstants auxiliam eventos de entrada com determinados elementos da IU, como KEYBOARD_PRESS e KEYBOARD_RELEASE, que são chamados por performHapticFeedback().

Implementar primitivos

Primitivas táteis em VibrationEffect.Composition têm intensidade escalonável que os desenvolvedores podem usar com addPrimitive(int primitiveId, float scale, int delay). As primitivas podem ser divididas em duas categorias:

  • Primitivas curtas:primitivas com duração curta, geralmente menos de 20 ms. São elas CLICK, TICK e LOW_TICK.

  • Primitivas de trinado:primitivas com amplitude e frequência variáveis, geralmente com uma duração maior do que as primitivas curtas. Eles são SLOW_RISE, QUICK_RISE, QUCK_FALL, THUD e SPIN.

Primitivos curtos

Primitivas curtas podem ser descritas pelo perfil de aceleração de saída do motor do vibrador. A frequência absoluta usada varia para cada primitivo, dependendo da frequência de ressonância do atuador. Consulte Configurar o equipamento de teste para mais informações sobre a configuração de hardware e as ferramentas para medir a saída.

Uma métrica de qualidade valiosa para vibrações curtas é a proporção de pulso para toque (PRR, na sigla em inglês), mostrada na Figura 5. A PRR é definida como a proporção entre o pulso principal, definido pelo sinal dentro da janela de duração em que a amplitude diminui para 10% da amplitude máxima, e o pulso do toque, definido pelo sinal em que a amplitude diminui de 10% para menos de 1% da amplitude máxima. A fórmula para PRR é:

$$ \text{Pulse to ring ratio (PRR)} = 20log_{10}\frac{\text{RMS (main pulse)}}{\text{RMS (ring)}} $$

Para mais informações sobre a PRR, consulte Analisar a forma de onda e, para mais informações sobre como analisar e comparar resultados, consulte Comparar resultados usando o mapa de desempenho.

Proporção de pulso para toque

Figura 5. Definição da proporção de pulso para toque

Aplique primitivas curtas como um feedback de entrada do usuário ou reproduzidas em composições mais longas para criar texturas suaves. Isso significa que eles geralmente são acionados com frequência e tocados em sucessão rápida. A intensidade percebida de uma única primitiva curta pode aumentar a intensidade do efeito maior. Por esse motivo, calibre uma única marcação ou uma marcação primitiva baixa com uma composição maior, por exemplo, 100 marcações consecutivas.

Primitiva de clique

A primitiva de clique é um efeito forte e nítido, geralmente operando perto da frequência de ressonância de um dispositivo para atingir a saída máxima em um curto período. Ele é mais forte e mais profundo do que as outras primitivas, com desempenho máximo.

Se disponível, use o overdrive do motor no início e a frenagem ativa no final para alcançar um tempo curto de subida e queda do motor. Para alguns motores, o uso de uma onda quadrada em vez de uma senoidal pode acelerar mais rápido. A Figura 6 mostra um exemplo de perfil de aceleração de saída para a primitiva de clique:

Clique no perfil de aceleração de saída do primitivo

Figura 6. Exemplo de perfil de aceleração de saída para a primitiva de clique

Parâmetro Diretriz
Duração

Meta: 12 ms

Limite: < 30 ms

Aceleração máxima de saída

Destino: 2G

Limite: > 1 GB

Frequência Aproximadamente na frequência de ressonância

Primitive de marcação (marcação clara)

A marcação primitiva é um efeito curto e nítido, geralmente operando em um intervalo de frequência mais alto. Essa primitiva também pode ser descrita como um clique de média intensidade com uma frequência mais alta e uma cauda curta. A mesma orientação se aplica para atingir um tempo de subida curto usando o overdrive do motor ou uma onda quadrada para o início inicial e a frenagem ativa no deslocamento. A Figura 7 mostra um exemplo de perfil de aceleração de saída para a primitiva de marcação:

Marcar o perfil de aceleração de saída primitivo

Figura 7. Exemplo de perfil de aceleração de saída para a marcação primitiva

Parâmetro Diretriz
Duração

Meta: 5 ms

Limite: < 20 ms

Aceleração máxima de saída

Meta: metade de CLICK, 1 G

Limite: entre 0,5 G e 1 G

Frequência

Alvo: frequência de ressonância 2x

Limite: < 500 Hz

Primitiva de marcação baixa

A marcação baixa é uma versão mais suave e fraca de uma marcação leve, operando em um intervalo de frequência mais baixo para dar mais corpo ao efeito. Essa primitiva também pode ser descrita como um clique de intensidade média em uma frequência mais baixa, destinado a ser usado repetidamente para feedback dinâmico. A mesma orientação se aplica para atingir um tempo de subida curto usando a aceleração do motor ou uma onda quadrada para o início inicial. A Figura 8 mostra um exemplo de perfil de aceleração de saída para a primitiva de tic baixo:

Perfil de aceleração de saída de marcação primitiva baixa

Figura 8. Exemplo de perfil de aceleração de saída para primitiva de tick baixo

Parâmetro Diretriz
Duração

Meta: 12 ms

Limite: < 30 ms

Aceleração máxima de saída

Meta: 1/4 de TICK, 0,25 G

Limite: entre 0,2 G e 0,5 G

Frequência

Meta: 2/3 da frequência de ressonância

Limite: < 100 Hz

Primitivas de chirp

As primitivas de chiado podem ser descritas pelos sinais de entrada para nível de tensão e frequência de vibração. A aceleração que o motor pode gerar em diferentes faixas de frequência varia de acordo com a curva de resposta de frequência do atuador. Os intervalos de frequência e os níveis de tensão precisam ser ajustados de acordo com o dispositivo.

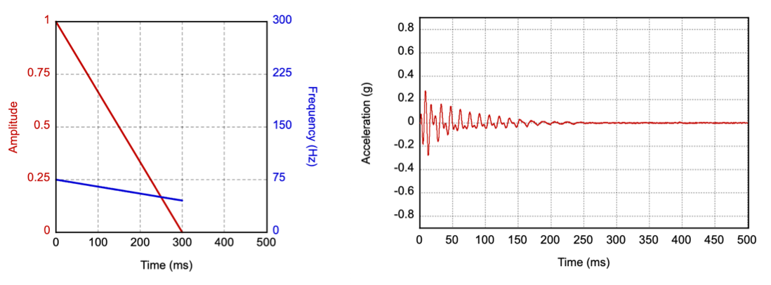
Primitiva de aumento lento

O aumento lento é uma amplitude lenta e uma varredura de frequência para cima com início suave e aumento consistente da intensidade da vibração durante a varredura. Ele pode ser implementado por uma varredura consistente da amplitude e da frequência, usando um intervalo de frequência mais baixo que opera fora da ressonância. A Figura 9 mostra os parâmetros de entrada e um exemplo de perfil de aceleração de saída para essa implementação. A linha vermelha corresponde aos rótulos de amplitude à esquerda e representa como a amplitude da vibração varia com o tempo. A linha azul corresponde aos rótulos de frequência à direita e representa como a frequência da vibração varia com o tempo.

Parâmetros de entrada e perfil de aceleração de saída para a primitiva de aumento lento

Figura 9. Parâmetros de entrada e exemplo de perfil de aceleração de saída para a primitiva de aumento lento

Se a resposta de frequência do motor for limitada (não forte o suficiente fora da frequência de ressonância), uma implementação alternativa será um varredura seno de 1/2x a 1x da frequência de ressonância. A ressonância do motor contribui para atingir o pico do sinal no final.

Parâmetro Diretriz
Duração

Meta: 500 ms

Tolerância: 20 ms

Aceleração máxima de saída

Meta: 0,5 GB

Limite: entre 0,5 G e 1 G

Frequência

Meta: 1/2 a 2/3 da frequência de ressonância

Alternativa: 1/2 para frequência de ressonância

Primitiva de aumento rápido

O aumento rápido é uma amplitude mais rápida e uma varredura de frequência para cima com início suave e aumento consistente da intensidade da vibração durante a varredura. As metas de aceleração de saída e de frequência de vibração precisam ser iguais às da primitiva de aumento lento, alcançadas em uma duração mais curta. A Figura 10 mostra os parâmetros de entrada de vibração e um exemplo de perfil de aceleração de saída para a primitiva de aumento lento. A linha vermelha corresponde aos rótulos de amplitude à esquerda e representa como a amplitude da vibração varia com o tempo. A linha azul corresponde aos rótulos de frequência à direita e representa como a frequência da vibração varia com o tempo.

Parâmetros de entrada e perfil de aceleração de saída para a primitiva de aumento rápido

Figura 10. Parâmetros de entrada e exemplo de perfil de aceleração de saída para primitiva de aumento rápido

Parâmetro Diretriz
Duração

Meta: 150 ms

Tolerância: 20 ms

Aceleração máxima de saída

Meta: igual a SLOW_RISE

Limite: igual a SLOW_RISE

Frequência

Meta: igual a SLOW_RISE

Alternativa: igual a SLOW_RISE

Primitiva de queda rápida

A queda rápida é um movimento de amplitude e frequência rápida para baixo com um início suave. É possível usar uma frequência mais alta como ponto de partida enquanto o motor está aumentando a velocidade para atingir a aceleração máxima de saída. A frequência precisa diminuir de forma consistente durante a varredura, mesmo durante o tempo de subida. A Figura 11 mostra os parâmetros de entrada e um exemplo de perfil de aceleração de saída para essa implementação. A linha vermelha corresponde aos rótulos de amplitude à esquerda e representa como a amplitude da vibração varia com o tempo. A linha azul corresponde aos rótulos de frequência à direita e representa como a frequência da vibração varia com o tempo.

Parâmetros de entrada e perfil de aceleração de saída para a queda rápida

Figura 11. Parâmetros de entrada e exemplo de perfil de aceleração de saída para a primitiva de queda rápida

Parâmetro Diretriz
Duração

Objetivo: 100 ms

Tolerância: 20 ms

Aceleração máxima de saída

Destino: 1 G

Limite: entre 0,5 GB e 2 GB

Frequência

Meta: 2x a 1x a frequência de ressonância

Primitiva Thud

O som é um efeito de percussão baixo e ressonante que simula a sensação física de bater em madeira ocas. Essa primitiva opera em um intervalo de baixa frequência, semelhante à primitiva de marcação baixa, para dar mais corpo ao efeito. É possível implementar a primitiva thud como um sweep de amplitude e frequência para baixo em um intervalo de frequência mais baixo (de preferência, menos de 100 Hz). A Figura 12 mostra os parâmetros de entrada e um exemplo de perfil de aceleração de saída para essa implementação. A linha vermelha corresponde aos rótulos de amplitude à esquerda e representa como a amplitude da vibração varia com o tempo. A linha azul corresponde aos rótulos de frequência à direita e representa como a frequência da vibração varia com o tempo.

Parâmetros de entrada e perfil de aceleração de saída para a primitiva thud

Figura 12. Parâmetros de entrada e exemplo de perfil de aceleração de saída para a primitiva thud

Se a resposta de frequência do motor for limitada, uma implementação alternativa é começar com um sinal de acionamento de intensidade total na frequência ressonante e cair para a frequência mais baixa possível que ainda possa ser percebida. Essa abordagem pode exigir um aumento da intensidade do sinal de acionamento na menor frequência para que a vibração seja sentida.

Parâmetro Diretriz
Duração

Meta: 300 ms

Tolerância: 20 ms

Aceleração máxima de saída

Meta: 0,25 g

Limite: entre 0,2 G e 0,5 G

Frequência

Meta: 1/2 a 1/3 da frequência de ressonância

Alternativa: 1x a 1/2 da frequência de ressonância

Primitiva de giro

A rotação simula um momento de rotação rápida para cima e para baixo com um ligeiro destaque no centro. A rotação pode ser implementada varrendo a amplitude e a frequência de forma independente, em direções opostas e seguida pelo movimento inverso. É importante usar um intervalo de frequência menor (de preferência menos de 100 Hz). A Figura 13 mostra os parâmetros de entrada e um exemplo de perfil de aceleração de saída para essa implementação. A linha vermelha corresponde aos rótulos de amplitude à esquerda e representa como a amplitude da vibração varia com o tempo. A linha azul corresponde aos rótulos de frequência à direita e representa como a frequência da vibração varia com o tempo.

Recomendamos que a primitiva de giro seja chamada duas vezes em sucessão ou três vezes em composições para ter uma sensação de giro e instabilidade.

Se a resposta de frequência do motor for limitada, uma implementação alternativa é fazer uma varredura de seno rápida de 1/2x a 1x a frequência de ressonância e vice-versa. A ressonância do motor dá automaticamente ao sinal um sotaque no meio.

Parâmetros de entrada e perfil de aceleração de saída para a primitiva de giro

Figura 13. Parâmetros de entrada e exemplo de perfil de aceleração de saída para a primitiva de rotação

Parâmetro Diretriz
Duração

Meta: 150 ms

Tolerância: 20 ms

Aceleração máxima de saída

Meta: 0,5 GB

Limite: entre 0,25 g e 0,75 g

Frequência

Meta: 2/3 a 1/3, depois de volta para 1/2 da frequência de ressonância

Alternativa: 2/3 para 1x e depois de volta para 1/2 da frequência de ressonância